torchFastText: Modernizing the MLOps pipeline at Insee for text classsification

1 October 2025

👨‍🔬 Who are we ?

Two data scientists from the innovation team at Insee:

  • Cédric Couralet
    • Previously software developer, architect, devops/security engineer… at Insee
    • Currently helping real data scientists bridge the gap between experimentation and production (How to talk to IT)
    • Open Source advocate

👨‍🔬 Who are we ?

Two data scientists from the innovation team at Insee:

  • Meilame Tayebjee
    • Graduated 2024
    • Currently pursuing a part-time PhD in AI applied to health econometrics
    • At Insee:
      • working on deep learning for text classification, computer vision with remote sensing data, MLOps practices
      • exploring explainability, calibration, LLMs, RAGs & agentic workflows

💡 What will we talk about ?

  • MLOps pipeline for text classification at Insee
  • Deploying a PyTorch model on CPU-bound secured offline environment
  • Open-sourcing a PyTorch package: why and how

1️⃣ Context

Use case (1/2)

  • NACE automatic coding (code APE) for the national business registry (Sirene)
    • Given an activity description and some additional info, assign one of the ~750 NACE labels
    • Sparse-label extreme multi-class text classification task with categorical variables
  • If model is not confident, human annotators enter the loop (reprise manuelle)
    • The automatic coding model reliability is highly critical

Use case (2/2)

  • Lot of training data, but not necessarily reliable
    • Coming from previous classification by a deterministic algorithm (Sicore) (1996-2021) and fastText (2021-2025)
  • Training on GPU but non-batched (online) inference on CPU (secured offline environment)
    • Special care about responsive inference time (<200 ms)

2️⃣ MLOps pipeline

The ideal MLOps pipeline…

… vs ours

Data cleaning

The first step of our pipeline (before any preprocessing or splitting) is a label correction based on expert rules:

  • Raw labels are coming from the previous production model: they are not fully reliable
  • We correct them using several techniques, based on expert-guided rules
    • The simplest one being REGEX (if text contains xxx then relabel as yyy)

Extensive use of MLFLow

  • MLflow used as a:
    1. Training monitor
    2. Model store and “versioner”
    3. Model wrapper (using pyfunc object from MLFLow)
    • Models are packaged with all the metadata necessary to run inference

The wrapper

class MLFlowPyTorchWrapper(mlflow.pyfunc.PythonModel):
  def __init__()
    ...
  
  def predict(self, model_input: list[SingleForm], params=None) -> list[PredictionResponse]:
    query = self.preprocess_inputs(
            inputs=model_input,
        )

    # Preprocess inputs
    text = query[self.text_feature].values
    categorical_variables = query[self.categorical_features].values

    ...

    all_scores = []
    for batch_idx, batch in enumerate(dataloader):
        with torch.no_grad():
            scores = self.module(batch).detach()
            all_scores.append(scores)
    all_scores = torch.cat(all_scores)
    probs = torch.nn.functional.softmax(all_scores, dim=1)

    ...

    responses = []
    for i in range(len(predictions[0])):
        response = process_response(predictions, i, nb_echos_max, prob_min, self.libs)
        responses.append(response)

    return responses

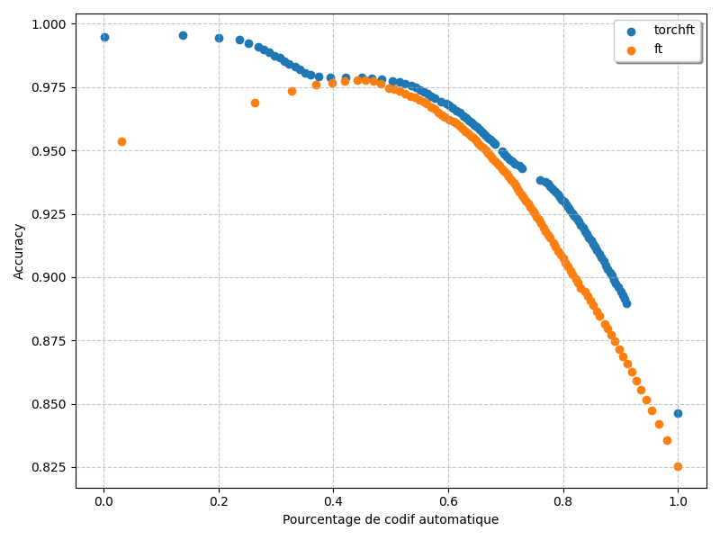
Model validation

We use a custom metric reflecting the needs of our use case: the automation rate vs accuracy on automatically coded samples curve

API serving

  • Text classification model served through a containerized REST API:
    • Simplicity for end users
    • Standard query format
    • Scalable
    • Modular and portable
  • Simple design thanks to the MLFLow wrapper
  • Continuous deployment with Argo CD

@router.post("/", response_model=List[PredictionResponse])
async def predict(
    credentials: Annotated[HTTPBasicCredentials, Depends(get_credentials)],
    request: Request,
    forms: BatchForms,
    ...
    num_workers: int = 0,
    batch_size: int = 1,
):
    """
    Endpoint for predicting batches of data.

    Args:
        credentials (HTTPBasicCredentials): The credentials for authentication.
        forms (Forms): The input data in the form of Forms object.
        num_workers (int, optional): Number of CPU for multiprocessing in Dataloader. Defaults to 1.
        batch_size (int, optional): Size of a batch for batch prediction.

    For single predictions, we recommend keeping num_workers and batch_size to 1 for better performance.
    For batched predictions, consider increasing these two parameters (num_workers can range from 4 to 12, batch size can be increased up to 256) to optimize performance.

    Returns:
        list: The list of predicted responses.
    """
    input_data = forms.forms

    ...

    output = request.app.state.model.predict(input_data, params=params_dict)
    return [out.model_dump() for out in output]

API serving

API serving

Monitoring

  • Monitoring the model in a production environment is necessary:
    • To detect distribution drifts in input data
    • To check that the model has a stable behavior
    • To decide when to retrain a model
  • Ideally, we would like to track model accuracy in real-time but expensive
  • In addition, monitoring of the API: latency, memory managment, disk usage, etc.

Monitoring

  • How we do it:
    • API logs its activity
    • Logs are fetched and formatted periodically
    • Metrics are computed from the formatted logs
    • Display on a dashboard

Monitoring

3️⃣ torchFastText, an open-source package to distribute PyTorch models

Beyond fastText ?

  • fastText: a powerful and efficient model that has been used in production since 2021…
  • … but the library repo has been archived on March 19th, 2024

This non-maintenance is highly problematic in the medium-term:

  • Potential appearance of (non-fixable) bugs
  • Conflicting versions of dependencies
  • Modernization hindrance

PyTorch: why ? Some strategic reflections…

💡 Idea: Develop our custom PyTorch-based model to:

  • adapt and customize the architecture for our specific needs (text classification with categorical variables)
  • limit dependencies to external libraries and internalize maintenance for more robustness in the long-term
  • access to the vibrant deep learning / NLP community to develop additional features (explainability with Captum, calibration with torch-uncertainty…)…
  • … or use pre-trained models on Hugging Face down the road (when we have GPUs in production…)

Our solution: the torchFastText package

The package:

  • Provides a standard yet flexible architecture for automatic coding needs…
  • … that stays close to the fastText methodology for now but is led to evolve
  • Distributes the raw PyTorch model, a Lightning module as well as a wrapper class for a quick grip
  • Is open-sourced and aims at fostering collaboration ! Feel free to raise an issue, report a bug or open a PR.

PyTorch model & Lightning module

from torchFastText.model import FastTextModel, FastTextModule
import torch

model = FastTextModel(embedding_dim=80,
                      num_classes=732,
                      num_rows = 20000,
                      categorical_vocabulary_sizes=[10, 20],
                      categorical_embedding_dims=5
                      )

module = FastTextModule(
    model=model,
    loss= torch.nn.CrossEntropyLoss(),
    optimizer=torch.optim.Adam,
    optimizer_params={"lr": 0.001},
    scheduler = None,
    scheduler_params=None
)
print(model)
print(module)
FastTextModel(
  (embeddings): Embedding(20000, 80, padding_idx=0, sparse=True)
  (emb_0): Embedding(10, 5)
  (emb_1): Embedding(20, 5)
  (fc): Linear(in_features=85, out_features=732, bias=True)
)
FastTextModule(
  (model): FastTextModel(
    (embeddings): Embedding(20000, 80, padding_idx=0, sparse=True)
    (emb_0): Embedding(10, 5)
    (emb_1): Embedding(20, 5)
    (fc): Linear(in_features=85, out_features=732, bias=True)
  )
  (loss): CrossEntropyLoss()
  (accuracy_fn): MulticlassAccuracy()
)

Tokenizer

from torchFastText.datasets import NGramTokenizer

training_text = ['boulanger', 'coiffeur', 'boucherie', 'boucherie charcuterie']

tokenizer = NGramTokenizer(
    min_n=3, 
    max_n=6, 
    num_tokens= 100,
    len_word_ngrams=2, 
    min_count=1, 
    training_text=training_text
    )

print(tokenizer.tokenize(["boulangerie"])[0])
[['<bo', 'bou', 'oul', 'ula', 'lan', 'boul', 'nge', '<boul', 'eri', 'rie', 'ie>', 'boul', 'boul', 'oula', 'ulan', 'lang', 'ange', 'nger', 'geri', 'erie', 'rie>', '<boul', 'boula', 'oulan', 'ulang', 'lange', 'anger', 'ngeri', 'gerie', 'erie>', '<boula', 'boulan', 'oulang', 'ngerie', 'langer', 'angeri', 'ngerie', 'gerie>', '</s>', 'boulangerie </s>']]

The wrapper class

A quick way to launch a training in two lines of code.

from torchFastText import torchFastText

# Initialize the model
model = torchFastText(
    num_tokens=1000000,
    embedding_dim=100,
    min_count=5,
    min_n=3,
    max_n=6,
    len_word_ngrams=True,
    sparse=True
)

# Train the model
model.train(
    X_train=train_data,
    y_train=train_labels,
    X_val=val_data,
    y_val=val_labels,
    num_epochs=10,
    batch_size=64
)
# Make predictions
predictions = model.predict(test_data)

Additional features: explainability

Using integrated predictions from Captum, we can measure feature importance in predictions:

4️⃣ Perspectives

MLOps

  • Bridging the gap between innovation and production:
    • full automation between data extraction, model training and qualification, model deployment
    • observability of the model in production: logs, continuous annotation…

From torchFastText to torchTextClassifiers

  • Distribution of untrained raw PyTorch text classification architectures
    • including all SOTA architectures, incl. BERT, Label Attention etc.
    • enable custom parametrization (you can make your own small BERT!)
    • enable easy training and inference on GPU/CPU

From torchFastText to torchTextClassifiers

  • Additional features:
    • train and use a custom tokenizer
    • controlling uncertainty: explainability, calibration & conformal prediction
    • quantization
    • push / pull from HF
  • For those who can not directly use big models from HF and/or want to train their own flexible models
  • Always fully open-sourced!

Thank you for your attention.

Find here all of our repos on the NACE coding project and our packages: